Saltar al contenido
TADIG > Blog > Cómo interpretar el ticket del tacógrafo digital

Cómo interpretar el ticket del tacógrafo digital

El ticket del tacógrafo es un documento con el que todos los transportistas y chóferes están familiarizados. Ya sea porque nos lo han solicitado en un control, porque hemos tenido que conducir sin tarjeta de conductor o porque hayamos cambiado a un vehículo con tacógrafo analógico, en algún momento habremos impreso uno. Sin embargo, para sacarles toda la utilidad posible hay que saber darles una interpretación a los tickets del tacógrafo.

Al igual que en los tacógrafos analógicos las actividades estaban a simple vista en el disco, los tickets del tacógrafo digital intentan hacer algo parecido. Sin embargo, los tickets incluyen información adicional como incidentes y fallos.

Qué tickets se pueden sacar del tacógrafo digital

Existen 6 tipos de documentos que se pueden imprimir en formato “ticket” en todas las marcas y modelos del tacógrafo digital. Cada marca puede incluir algún tipo más, pero la normativa exige los siguientes:

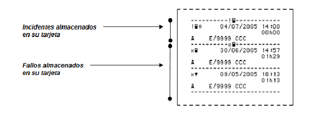
Esquema interpretación ticket tacógrafo
Todos los tickets de tacógrafo tienen una estructura común. Saber esto facilita su interpretación.
  • Actividades diarias del conductor y segundo conductor registradas en las tarjetas. También se le llama “ticket 24 horas del conductor”. Es el que se imprime y debe llevarse encima al cambiar a un vehículo con tacógrafo analógico. Complementa a los discos en la información que les falta a estos.
  • Actividades diarias del conductor y segundo conductor registradas en el tacógrafo. También se le puede llamar “ticket 24 horas del vehículo”. Es el que se imprime cuando no se dispone de tarjeta de conductor, pero sólo en las excepciones que permiten conducir sin tarjeta, reconocidas en el Reglamento UE 165/2014. Usar el ticket como registro de actividad fuera de estas excepciones no sería válido y podrían sancionarnos.
  • Incidentes y fallos registrados en el tacógrafo. Pueden pedirlo en un control de carretera.
  • Incidentes y fallos registrados en las tarjetas de conductor. Pueden pedirlo en un control de carretera.
  • Datos técnicos de vehículo y aparato de control (tacógrafo). Pueden pedirlo en un control de carretera.
  • Excesos de velocidad registrados en el tacógrafo. Pueden pedirlo en un control de carretera.

 

Habitualmente la impresión del ticket 24 horas del conductor es la primera opción del menú del tacógrafo, aunque puede variar entre marcas. Para imprimir otro tipo de ticket, habrá que buscarlo con los botones de flechas del frontal del tacógrafo digital, dentro del menú «IMPRIMIR».

Qué partes tiene un ticket del tacógrafo

Los tickets del tacógrafo digital se ordenan por bloques para facilitar su interpretación. Independientemente del tipo de ticket, hay tres bloques comunes.

Cabeza del ticket

interpretación ticket tacógrafo cabeza
Encabezado común de todas las impresiones del tacógrafo digital. Fuente: Departamento de Transportes y Obras Públicas del País Vasco

Incluye información sobre el documento en sí, como el vehículo al que se refiere (matrícula y número de bastidor), la hora de impresión, el tipo de ticket que es (actividades diarias, incidencias, datos técnicos… ), quién ha solicitado su impresión… También aporta datos del tacógrafo como marca y modelo, últimas revisiones y calibrado…

Es, en resumen, el “carné de identidad” del tacógrafo.

Cuerpo del ticket

ejemplo de cuerpo de ticket de impresión de 24 horas conductor
Ejemplo de cuerpo de ticket de impresión de 24 horas de actividad del conductor. Fuente: Departamento de Transportes y Obras Públicas del País Vasco

El cuerpo del ticket varía en función del tipo de documento que se haya imprimido. Los más informativos son el de actividades diarias o 24 horas, ya que son un resumen de todo lo que se registra en la tarjeta o en el tacógrafo, dependiendo del tipo de impresión.

Por último, los otros tipos de ticket de tacógrafo (incidentes y fallos, datos técnicos, excesos de velocidad) contienen información específica que, por lo general, sólo necesitaremos si nos los piden en un control de carretera.

Pie del ticket

Pie del ticket del tacógrafo, con líneas punteadas para indicar datos del controlador y del conductor. Fuente: Departamento de Transportes y Obras Públicas del País Vasco

Al pie del ticket hay unas líneas punteadas para, en caso de sacar el documento en una inspección o control, poder apuntar a mano los datos de la misma.

Cómo interpretar el ticket del tacógrafo digital

Sabiendo qué tipos de ticket podemos encontrarnos y qué información recoge cada bloque, vamos a ver cómo interpretar su contenido.

La parte que varía entre tipos de ticket es el cuerpo. Dependiendo del tipo de documento impreso, encontraremos una información u otra. Los tickets que más información contienen son los de actividades diarias, ya que en cierta medida resumen el resto.

A continuación se encuentra una interpretación de cada tipo de ticket del tacógrafo. Las imágenes son las provistas por el Departamento de Transportes y Obras Públicas del Gobierno Vasco. Todas las imágenes pueden ampliarse haciendo click en ellas, y ofrecen un desglose por bloques de información.

Como se puede apreciar, todos los tickets se ordenan por bloques, y cada uno de estos bloques sigue un orden cronológico. Así, por ejemplo, en el ticket de actividades del vehículo, en caso de conducción en equipo, las actividades de cada conductor estarán en un bloque. Todas las actividades están identificadas por pictogramas. Los tickets más extensos, que son los de actividad de 24 horas, contienen primero las actividades registradas y un resumen por tipo de actividad y tiempos de las mismas, seguidas de los últimos incidentes y fallos registrados.

Así, vemos cómo la interpretación del ticket del tacógrafo digital es más sencilla de lo que parece a simple vista. Aprendiendo a usar esta herramienta que nos provee el tacógrafo, podremos familiarizarnos con el aparato de control y aprovechar su información al máximo.

Servicios del tacógrafo digital
TADIG ofrece servicios de análisis del tacógrafo digital, además de custodia durante el periodo legal exigible, a empresas y autónomos.

Nuestros servicios incluyen:

  • Lectura automática de ficheros del tacógrafo digital
  • Guarda y custodia de datos del tacógrafo
  • Registro de jornada para chóferes
  • Alerta de faltas cometidas
  • Informes personalizables
  • Renovación de tarjetas
  • Apoyo administrativo

Y además:

  • Localización GPS
  • Gestión de flotas
  • Herramientas de descarga manual y descarga remota, en función de las necesidades del cliente

Póngase en contacto con nosotros para ver una demostración del servicio, o pida un presupuesto ajustado a sus necesidades.

16 comentarios en «Cómo interpretar el ticket del tacógrafo digital»

  1. Hola, si se introduce la tarjeta en el tacografo para descargar el conjunto, en el tiempo de descanso, se verá interrumpido el descanso por dicha actividad?
    Gracias!

    1. Hola Romeliu,

      Ni la impresión de tickets ni la descarga del tacógrafo o las tarjetas interrumpe el descanso. Sólo la puesta en movimiento del vehículo (modo conducción se inicia automáticamente) o el cambio manual mediante selector de actividades cambia el modo del tacógrafo y por tanto interrumpe el descanso.

      Esperamos haber resuelto tu duda

  2. Hola,quiero saber si empiezo mis labores a las 11de la noche del dia anterior ,y terminado mi jornada a las 8del Otro dia ,pero no aviso al tacografo fin de jornada ,por que me olvide y cojo el camion para continuar con mis labores, mi pregunta es si por si solo el tacografo finalisa la jornada, despues de haver echo mis 11horas de descanso, gracias por su respuesta

  3. Buenas quisiera saber si es posible sacar un ticket de un mes en concreto! Ya que me lo han pedido y fue cuando empeze con el tacografo digital y casualidad que ese mes no lo descargue y quedo pisado por el mes siguiente

    1. Hola Julián,

      En el artículo está explicado cómo elegir cada tipo de ticket que se puede imprimir. En la impresión de 24 horas de actividad deberás usar las flechas para elegir qué día te interesa. Sin embargo el proceso puede ser largo porque de esta forma sólo puedes imprimir los días de uno en uno.

      Por otro lado, si el mes que te interesa lo ha «pisado» el siguiente, puede ser que esos datos ya no se encuentren en tu tarjeta. Si el mes que te interesa es reciente y todavía está en la tarjeta, intenta hacer una descarga completa con tu herramienta de descarga. Si faltan esos datos, probablemente se hayan perdido definitivamente.

      Esperamos que estas indicaciones te ayuden

  4. Buenos días. Somos dos conductores en el mismo vehículo y necesito saber quién fue el conductor en un día determinado. Como puedo imprimir o consultar ese día? Gracias

    1. Hola Jose Manuel,

      Puedes comprobar quién era conductor principal en cada momento mediante tickets, realizando una impresión de 24 horas de actividades registradas en vehículo. Deberás seleccionar ese tipo de impresión y, a continuación, elegir el día que os interesa. Sin embargo, esto sólo podrá hacerse si queréis consultar un día relativamente reciente, porque los datos antiguos registrados por el tacógrafo se van borrando.

      Otra alternativa es consultar el contenido de los ficheros obtenidos al descargar el tacógrafo, preguntando a vuestros superiores si sois asalariados, o usando un servicio de análisis de ficheros del tacógrafo en caso de que seais responsables de estos registros como empresa.

      Esperamos que estos consejos os resulten de utilidad.

    1. Hola Edwin,

      Las interrogaciones aparecen para los periodos en los que no se ha indicado en el tacógrafo qué actividad se estaba realizando. Si coinciden durante el horario de descanso, no deberían suponer problema. Si hay periodos durante la jornada con interrogaciones, puede considerarse falta de registro y ser sancionable.

      No se puede dar un plazo para la sobreescritura de la información del tacógrafo, porque depende de cuánto se use (a más actividades a registrar, más memoria ocupada). Recordamos que los registros se mantienen tanto en la memoria del tacógrafo como en la tarjeta de conductor hasta que se llena la memoria, que en ese momento empieza a borrarse empezando por lo más antiguo.

  5. Buenas tardes,
    Si después de 7 días estando en disponibilidad, me incorporo al trabajo, marcando «disponibilidad» me saltan unas cuantas infracciones por falta de descanso, cuando el vehículo a estado durante esos 7 días completamente parado y yo no he realizado ninguna actividad. Con la impresión de un ticket serviría para evitar las sanciones?

    Gracias,

  6. Hola, Raquel;
    Tras siete días de guardia en casa, al volver a introducir la tarjeta, como ya no es obligatorio el Certificado de Actividades, me dijeron que metiese igual la disponibilidad que lo hacía cuando aún me lo daban, marcando la casilla (19) durante ese periodo. Lo hice y ahora me aparece las faltas de no haber hecho los descansos. ¿Cómo lo puedo hacer? ¿Tengo que sacar un tiket de 24h por cada día?
    Muchas gracias

Deja una respuesta

Los comentarios están abiertos a todos nuestros lectores, siempre y cuando cumplan nuestra política de comentarios.
 
Este no es un formulario de contacto, las solicitudes de tipo comercial hechas por esta vía no serán respondidas.
 
Los campos marcados con un asterisco (*) son obligatorios. Su dirección de correo no será publicada.

Información sobre protección de datos:
- Responsable: Qwi Tecnologías de la Información, S.L., y su marca asociada TADIG
- Fin del tratamiento: Controlar el spam y gestión de comentarios
- Legitimación: Su consentimiento
- Comunicación de los datos: No se comunicarán datos a terceros salvo por obligación legal
- Derechos: Acceso, rectificación, portabilidad y olvido.
- Contacto: info@qwi.es
- Información adicional: Más información en nuestra política de privacidad